LimitIntuitive.mws

Conceptual Understanding of the Limit

>    restart;
with( plots ):

Warning, the name changecoords has been redefined

>   

Lesson Overview

The word "limit" is used in a variety of everyday circumstances. For example, all of us have heard a parent say "You are pushing the limit of my patience!". The intuitive mathematical definition is very similar. The basic idea is that the behavior of a function near a point can be very different from what happens directly at the point. In this lesson our objective is to begin to develop an intuitive mathematical definition about limits. We will first find limits from a graph then develop some basic techniques for the analytic evaluation of limits. These techniques will be combined to develop the concepts of one-sided limits and to support an initial look at two special trigonometric limits. The lesson concludes with a short reminder that graphs and tables of values can be misleading.

>   

Definition (Intuitive Definition of Limits)

When we say that limit(f(x),x = a) = L  we mean that for all values of x  near (but different from) a , then the function values f(x)  are all near L .

>   

Outline

  • Graphical Evaluation of Limits
  • Basic Analytic Methods
  • Piecewise-Defined Functions and One-Sided Limits
  • Two Special Trigonometric Limits
  • Graphs and Tables can be Misleading
  • Limits for Oscillating Functions

>   

Graphical Evaluation of Limits

The first step to understanding limits is to be able to identify limits from a graph of a function y = f(x). Once that is mastered it becomes necessary to determine limits from an algebraic description of the function. This is simplest when the function is defined at the limit point and there are no "problems" at the limit point.

You must be aware that this method is not foolproof. The most common "problems" that arise are division by zero and even roots of negative numbers.

This concept is illustrated in Example 1.

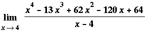
Example 1: Limit((x^4-13*x^3+62*x^2-120*x+64)/(x-4),x = 1)  

>    f1 := ( x^4 - 13*x^3 + 62*x^2 - 120*x + 64 ) / ( x - 4 ):
f(x) = f1;

f(x) = (x^4-13*x^3+62*x^2-120*x+64)/(x-4)

Prior to evaluating any limits, it is adviseable to plot the function. In this case, notice that the function is not defined for x=4.

>    p1 := display( [plot( f1, x=0..3.95 ),
                plot( f1, x=4.05..6 ),
                pointplot( [4,8], symbol=circle, symbolsize=18),
                pointplot( [1,2], symbol=cross, symbolsize=18, color=blue)] ):
display( p1, title="Example 1: Plot of y=( x^4 - 13*x^3 + 62*x^2 - 120*x + 64 ) / ( x - 4 ) on [0,6]" );

[Maple Plot]

>   

The first attempt when evaluating a limit is to attempt to evaluate the function at the limit point. In this case, the function is defined at x = 1  (see the blue cross in the above plot), and the value of the function at x = 1  is

>    eval( f1, x=1 );

2

Based on this computation, and the graph, it appears as though

>    Limit( f1, x=1 ) = eval( f1, x=1 );

Limit((x^4-13*x^3+62*x^2-120*x+64)/(x-4),x = 1) = 2

To confirm this result, note that Maple reports the value of this limit to be

>    Limit( f1, x=1 ) = limit( f1, x=1 );

Limit((x^4-13*x^3+62*x^2-120*x+64)/(x-4),x = 1) = 2

>   

The same technique could be applied to all other limit points --- except x = 4 . At x = 4  this function is not defined. From the graph it is clear that all function values close to x = 4  approach the same value, namely 5. An analytic derivation for this result will be developed next.

>   

Basic Analytic Methods

The typical "problem" that prevents the direct evaluation of the function at the limit point is "division by zero".
If the function is a rational function and the numerator is also zero at the limit point, say
x = a , then ( x-a ) must be a common factor of both numerator and denominator. After cancellation of all common factors, direct evaluation can be retried.

This is illustrated in Example 2.

>   

Example 2: Limit((x^4-13*x^3+62*x^2-120*x+64)/(x-4),x = 4)  

>    f1 := ( x^4 - 13*x^3 + 62*x^2 - 120*x + 64 ) / ( x - 4 ):
f(x) = f1;
p1 := display( [ plot( f1, x=0..3.95 ),
                 plot( f1, x=4.05..6 ),
                 pointplot( [4,8], symbol=circle, symbolsize=18) ] ):

f(x) = (x^4-13*x^3+62*x^2-120*x+64)/(x-4)

The first attempt when evaluating a limit is to evaluate the function at the limit point. In this case, the function is not defined at x = 4 :

>    eval( f1, x=4 );

Error, numeric exception: division by zero

Upon closer inspection it is seen that both numerator and denominator are zero when x = 4 :

>    eval( numer(f1), x=4 );
eval( denom(f1), x=4 );

0

0

This means that we can factor ( x = 4 ) from both numerator and denominator. The resulting function is

>    n1 := factor( numer(f1) );
d1 := factor( denom(f1) );
f2 := n1/d1;

n1 := (x-4)*(x^3-9*x^2+26*x-16)

d1 := x-4

f2 := x^3-9*x^2+26*x-16

The new function, f2 , is identical to f1  except that it is defined at x = 4 . This can be illustrated in a plot.

>    p2 := plot( f2, x=0..6, color=green, thickness=3 ):
display( [p1,p2], title="Example 2: Plot of\ny=(x^4-13*x^3+62*x^2-120*x+64)/(x-4) and y=x^3-9*x^2+26*x-16\non [0,6]" );

[Maple Plot]

The goal of this example is to illustrate that changing the definition of the function at one point does not change the value of the limit:

>    Limit( f1, x=4 ) = Limit( f2, x=4 );

Limit((x^4-13*x^3+62*x^2-120*x+64)/(x-4),x = 4) = Limit(x^3-9*x^2+26*x-16,x = 4)

The limit can be evaluated as in the previous example:

>    Limit( f2, x=4 ) = eval( f2, x=4 );

Limit(x^3-9*x^2+26*x-16,x = 4) = 8

This result appears to be consistent with the graphical information. Moreover, Maple reports the value of the original limit to be

>    Limit( f1, x=4 ) = limit( f1, x=4 );

Limit((x^4-13*x^3+62*x^2-120*x+64)/(x-4),x = 4) = 8

>   

Note that if the numerator is not zero at the limit point then no cancellation is possible. This situation will be dealt with in detail in the Infinite Limits lesson.

Piecewise-Defined Functions and One-Sided Limits

Piecewise-defined functions present a new wrinkle beyond that encountered with rational functions. The difficulty with a piecewise-defined function arises when the limit point is also a transition point between two parts of the definition of the function.

In these situations it is not generally possible to algebraically simplify the problem so that it can be evaluated by direct substitution.  Instead, the two different directions in which the limit point can be approached lead to the two one-sided limits.


Each of these limits is usually fairly simple to evaluate as they involve only one part of the definition of the piecewise-defined function. If these two limits exist AND have the same value, then the two-sided limit exists and has the same value as the two one-sided limits.

Examples 3 and 4 illustrate these ideas.

>   

Example 3: Limit(PIECEWISE([-x^2+2, x < 1],[sqrt(x-1)-2*x/3+2, 1 <= x]),x = 1)  

>    f3 := piecewise( x<1, -x^2+2, x>=1, sqrt(x-1)-2*x/3+2 ):
f(x) = f3;

f(x) = PIECEWISE([-x^2+2, x < 1],[(x-1)^(1/2)-2/3*x+2, 1 <= x])

As before, we begin with a plot

>    p3 := plot( f3, x=0..6, discont=true ):
display( p3, view=[0..6,0..3], title="Example 3: Plot of a piecewise-defined function with a jump at x=1" );

[Maple Plot]

This picture convincingly shows that the (two-sided) limit of this function does not exist at x = 1 . This is true even though there is no problem directly evaluating the function at the limit point:

>    eval( f3, x=1 );

4/3

but Maple reports that the limit does not exist

>    limit( f3, x=1 );

undefined

To understand why this limit does not exist, consider the two one-sided limits:

>    q1 := Limit( f3, x=1, left ) = Limit( -x^2+2, x=1 ):
q1,`` = eval( -x^2+2, x=1 );

Limit(PIECEWISE([-x^2+2, x < 1],[(x-1)^(1/2)-2/3*x+2, 1 <= x]),x = 1,left) = Limit(-x^2+2,x = 1), `` = 1

>    q2 := Limit( f3, x=1, right ) = Limit( sqrt(x-1)-2*x/3+2, x=1 ):
q2;
`` = eval( sqrt(x-1)-2*x/3+2, x=1 );

Limit(PIECEWISE([-x^2+2, x < 1],[(x-1)^(1/2)-2/3*x+2, 1 <= x]),x = 1,right) = Limit((x-1)^(1/2)-2/3*x+2,x = 1)

`` = 4/3

The fact that the one-sided limits have different values explains why the two-sided limit does not exist. This result is confirmed by Maple:

>    q3 := Limit( f3, x=1 ):
q3 = value( q3 );

Limit(PIECEWISE([-x^2+2, x < 1],[(x-1)^(1/2)-2/3*x+2, 1 <= x]),x = 1) = undefined

>   

Example 4: Limit(PIECEWISE([-x^2+2, x < 1],[sqrt(x-1)-x+2, 1 <= x]),x = 1)  

>    f4 := piecewise( x<1, -x^2+2, x>=1, sqrt(x-1)-x+2 ):
f(x) = f4;

f(x) = PIECEWISE([-x^2+2, x < 1],[(x-1)^(1/2)-x+2, 1 <= x])

This function looks very similar to the function in Example 3. A plot shows that there is, however, a fundamental difference:

>    p4 := plot( f4, x=0..6, discont=true ):
display( p4, view=[0..6,0..3], title="Example 4: Plot of piecewise-defined function without a jump" );

[Maple Plot]

This picture suggests that the values of this function on either side of x = 1  approach the same value -- namely, 1. To confirm this, look at the two one-sided limits:

>    q1 := Limit( f4, x=1, left ) = Limit( -x^2+2, x=1 ):
q1;
`` = eval( -x^2+2, x=1 );

Limit(PIECEWISE([-x^2+2, x < 1],[(x-1)^(1/2)-x+2, 1 <= x]),x = 1,left) = Limit(-x^2+2,x = 1)

`` = 1

>    q2 := Limit( f4, x=1, right ) = Limit( sqrt(x-1)-x+2, x=1 ):
q2;
`` = eval( sqrt(x-1)-x+2, x=1 );

Limit(PIECEWISE([-x^2+2, x < 1],[(x-1)^(1/2)-x+2, 1 <= x]),x = 1,right) = Limit((x-1)^(1/2)-x+2,x = 1)

`` = 1

The fact that the one-sided limits exist and have the same value permits us to conclude the two-sided limit does exist and has value 1. Maple confirms this conclusion:

>    q3 := Limit( f4, x=1 ):
q3 = value( q3 );

Limit(PIECEWISE([-x^2+2, x < 1],[(x-1)^(1/2)-x+2, 1 <= x]),x = 1) = 1

>   

Two Special Trigonometric Limits

The limits

  Limit(sin(theta)/theta,theta = 0) = 1    and    Limit((1-cos(theta))/theta,theta = 0) = 0  

will arise repeatedly throughout this course. These limits will be discussed from graphically in this lesson and rigorously derived with the assistance of some geometry in the Limits of Trigonometric Functions lesson. Graphical justification for these limits is obtained from the following plots.

>    p1 := plot( sin(theta)/theta, theta=-4*Pi..4*Pi,
            title="Plot of y=sin(theta)/theta on [-4*Pi,4*Pi]" ):
p1;

[Maple Plot]

>    p2 := plot( (1-cos(theta))/theta, theta=-4*Pi..4*Pi,
            title="Plot of y=(1-cos(theta))/theta on [-4*Pi,4*Pi]" ):
p2;

[Maple Plot]

These limits are very special. Any deviation from these forms must be dealt with carefully. If a limit does not exactly fit one of these forms, algebraic substitutions and simplifications can be used in the attempt to transform the limit into one of these special limits. Example 5 illustrates how a problem can be broken down into one of these special limits.

>   

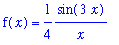
Example 5: Limit(sin(3*x)/(4*x),x = 0)  

>    f5 := sin(3*x)/(4*x):
f(x) = f5;

f(x) = 1/4*sin(3*x)/x

Observe that this function is not defined for x = 0  and no amount of factoring or other manipulation can eliminate the "division by zero" problem at x = 0 . In situations like this the graph is even more important.

>    p5 := display( [ plot( f5, x=-Pi..-0.05 ),
                 plot( f5, x=0.05..Pi ),
                 pointplot( [0,0.75], symbol=circle, symbolsize=18) ] ):
display( p5, view=[-Pi..Pi,-0.25..1], title="Plot of y=sin(3*x)/(4*x) on [-Pi,Pi]" );

[Maple Plot]

This plot suggests that the limit should exist and its value should be around 0.75. To gather further evidence in support of this observation, create a table of values for the function evaluated close to zero.

>    a := 0:
H := [ 1.0, 0.5, 0.1, 0.01, 0.001, 0.0001, 0.00001 ]:

For values converging to x = 0  from the left of the limit point:

>    xL := [seq( a-h, h=H )]:
bodyL := seq( < X | eval(f5,x=X) >, X=xL ):
header := < theta | f(theta) >, <`_______` | `____________` >:
< header, bodyL >;

Matrix(%id = 3150604)

>   

This suggests that the one-sided limit from the left exists and has value Limit(sin(3*x)/(4*x),x = 0,left) = 3/4 .

>   

Similarly, for values converging to x = 0  from the right of the limit point:

>    xR := [seq( a+h, h=H )]:
bodyR := seq( < X | eval(f5,x=X) >, X=xR ):
< header, bodyR >;

Matrix(%id = 6382780)

supports the claim that the one-sided limit from the right exists and has value Limit(sin(3*x)/(4*x),x = 0,right) = 3/4 .

>   

The existence and agreement of both one-sided limits is additional support for the claim that the value of the (two-sided) limit is 3/4.

>   

Note:

This argument is not  a complete justification of the evaluation of this limit. The problem is that a table of function values is never sufficient to justify the evaluation of a limit. The complete evaluation of this limit will be discussed in the Limits of Trigonometric Functions lesson. Some of the problems that can arise from the use of a table or graph to evaluate a limit are discussed next in this lesson.

>   

Graphs and Tables can be Misleading

A graph is not always sufficient to determine a limit. Almost all computer-generated graphs are really just plots of a collection of points connected to form the curve. If the collection of points is not done wisely, some important information about the function will be missing from the plot. By the same reasoning a table of values can be misleading.

These obstacles can oftentimes be overcome by the selection of an appropriate viewing window for the function or the selection of an appropriate set of points to use to create the table.

This is illustrated in Example 6.

Example 6: Limit((100*x-cos(x))^2/100000,x = 0)  

>    f6 := (100*x - cos(x))^2/100000:
f(x) = f6;

f(x) = 1/100000*(100*x-cos(x))^2

>   

As usual, begin with a plot of the function. The graph of y = x^2/10-x/500  is included for comparison purposes.

>    p6 := plot( [f6,x^2/10-x/500], x=-1..1, thickness=[1,3] ):
display( p6, title="Plot of y=(100*x-cos(x))^2/100000 and y=x^2/10-x/500 on [-1..1]" );

[Maple Plot]

The graph of this function is indistinguishable from the graph of y = x^2/10-x/500  on this interval.

>   

If we create tables of function values for this function to the left and right of x = 0 , we might obtain

>    a := 0:
H := [ 1.0, 0.5, 0.1, 0.01 ]:
xL := [seq( a-h, h=H )]:
xR := [seq( a+h, h=H )]:

For values converging to x = 0  from the left of the limit point:

>    header := < `x` | `f(x)` >, < `_____` | `_______________` >:
bodyL := seq( < X | eval( f6, x=X ) >, X= a-H ):
tableL := < header, bodyL >:

and from the right of the limit point:

>    bodyR := seq( < X | eval( f6, x=X ) >, X= a+H ):
tableR := < header, bodyR >:
tableL, tableR;

Matrix(%id = 1935000), Matrix(%id = 628884)

The most likely conjecture about this limit based on these (short) lists of function values is that Limit((100*x-cos(x))^2/100000,x = 0) = 0 . However, this is incorrect.

This limit can be evaluated by direct evaluation of this function at x = 0 . This operation yields

>    q1 := Limit( f6, x=0 ) = eval( f6, x=0 ):
q1;
`` = evalf( eval(f6,x=0) );

Limit(1/100000*(100*x-cos(x))^2,x = 0) = 1/100000

`` = .1000000000e-4

which is in agreement with Maple

>    q2 := Limit( f6, x=0 ):
q2 = value( q2 );

Limit(1/100000*(100*x-cos(x))^2,x = 0) = 1/100000

>   

Thus, the initial picture and subsequent tables were all misleading. In this case if we zoom in on the graph to the interval [-0.01, 0.01 ], the functions are seen to be quite different.

>    p6z := plot( [f6,x^2/10-x/500], x=-0.01..+0.03, thickness=[1,3] ):
display( p6z, title="Plot of y=(100*x-cos(x))^2/100000 and y=x^2/10-x/500 on [-0.01..0.03]" );

[Maple Plot]

The point of this example is to illustrate that neither a graph nor a table of function values can completely justify the evaluation of a limit. Graphs of the function and corresponding tables of values can be useful but are only the first step. Hopefully, the information gathered from the table of function values suggests other methods and techniques for justifying the evaluation of a limit. The rigorous evaluation of limits is discussed in the Precise Definition of the Limit lesson.

>   

Limits for Oscillating Functions

The fundamental trigonometric functions are the sine and cosine functions. These functions are periodic (with period 2*Pi ). This means the function values repeat every 2*Pi  units, as shown in the following plot.

>    plot( [sin(theta), cos(theta)], theta=-3*Pi..3*Pi,
      color=[red,blue], scaling=constrained,
      title="Three periods of the sine and cosine functions",
      legend=["y=sin(theta)","y=cos(theta)"] );

[Maple Plot]

>   

All periodic functions oscillate. When composed with other functions, these oscillations can be problematic in limit problems. If a function oscillates with a fixed amplitude, this function will not converge as the variable increases (or decreases) without bound. If, however, the amplitude decreases then there is a chance the limit does exist. (This type of limit will be discussed in detail in the Limits at Infinity leson.)

Example 7 contains an example with oscillations near a finite limit point.

>   

Example 7: Limit(sin(1/x),x = 0)  

>    f7 := sin(1/x):
f(x) = f7;

f(x) = sin(1/x)

This function is not defined at x = 0 . A graph of the function that avoids the problems at the origin shows that this function oscillates between -1 and 1.

>    p7 := display( [ plot( f7, x=-2/Pi..-0.01 ),
                 plot( f7, x= 0.01.. 2/Pi ) ] ):
display( p7, title="Plot of y=sin(1/x) on [-2/Pi,2/Pi]" );

>   

[Maple Plot]

Observe that the period of the oscillations increases as the points move closer to the origin -- from both the left and the right. This suggests that the function will take on all values between -1 and 1 infinitely often for points close to x = 0 . In particular, the value of the function does not approach a single point and the limit (two-sided or one-sided) does not exist.

>   

Observe that Maple's evaluation of this limit informs us that the limit does not exist and the reason for this is that the values oscillates between -1 and 1.

>    q1 := Limit( f7, x=0 ):
q1 = value( q1 );

Limit(sin(1/x),x = 0) = -1 .. 1

>   

Lesson Summary

In this lesson we have developed the following general procedure for evaluating limits:

A Concept-Based Approach to Evaluating Limit(f(x),x = a)  

>   

What's Next?

Now that you have completed this lesson, you should practice your limit evaluation skills with the online homework assignment. Note there are practice sessions for specific topics, a general practice session for problems related to this lesson, and a graded homework assignment. Work enough practice problems to master these concepts, then complete the online homework assignment and the assigned problems from the text. Independent practice sessions for a specific topic are also provided.

The next lesson uses the ideas presented in this lesson to develop a Precise Definition of the Limit.

>   

>