DerivPrecise.mws

Precise Defintion of the Derivative

>    restart;

>   

Lesson Overview

The conceptual understanding that the deriviative `f'`(c) of a function as the slope of the tangent line to the graph of y = f(x)  at the point ( c , f(c)  ) or as the instantaneous rate of change in f at x=c is essential. But, there is more. In order to be able to find derivatives in a wide variety of settings it is necessary to be comfortable with the precise definition of the derivative. As expected from the Conceptual Understanding of Derivatives lesson, the definition will involve limits. Fortunately, this definition is not nearly as complicated as the Precise Definition of the Limit. Once we see the definition and work a few examples, we will be in a position to assemble a useful list of Differentiation Rules.

>   

Definition of the Derivative

A number of different approaches to understanding the derivative are presented in the Conceptual Understanding of the Derivative lesson. These can be summarized in the following precise definition:

Definition: Limit

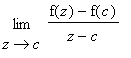
Let f be a function. The derivative of  f at   x  is

  `f'`(x) = limit((f(x+h)-f(x))/h,h = 0)  

whenever the limit exists (i.e., is finite). When the limit exists we say f is differentiable at   x . If this limit does not exist (including infinity  or -infinity ) then we say f is not differentiable at x .

>   

The secant line approach to the derivative leads to a slightly different form of the derivative. To understand the connection, consider the difference quotient in the above definition:

>    dq1 := (f(x+h)-f(x))/h:
`f'`(x) = Limit( dq1, h=0 );

`f'`(x) = Limit((f(x+h)-f(x))/h,h = 0)

If the point x+h is renamed z , then x+h = z  implies h = z-x  and so

>    dq2 := subs( h=z-x, dq1 ):
dq1 = dq2;

(f(x+h)-f(x))/h = (f(z)-f(x))/(z-x)

The fact that h  approaching zero can be restated as z  approaching zero means

>    `f'`(x) = Limit( dq1, h=0 );
`` = Limit( dq2, z=x );

`f'`(x) = Limit((f(x+h)-f(x))/h,h = 0)

`` = Limit((f(z)-f(x))/(z-x),z = x)

>   

Examples

Examples 1 - 3 are straightforward applications of the definition. The only complication is deciding upon and implementing the simplification of the difference quotient to a form that allows the limit to be evaluated with ease.

Example 1:   f(x) = x^3  

To find the derivative of

>    f1 := x -> x^3:
f(x) = f1(x);

f(x) = x^3

at a point x = c  we compute the limit of the difference quotients between ( c , f(c)  ) and ( c+h , f(c+h)  ) as h  approaches zero:

>    dq1a := (f1(c+h)-f1(c))/h:
`f'`(c) = Limit( dq1a, h=0 );

`f'`(c) = Limit(((c+h)^3-c^3)/h,h = 0)

This limit is of the form 0/0 . When the numerator is expanded and simplified, one factor of h  cancels the denominator to yield

>    dq1b := simplify( dq1a ):
df1 := Limit( dq1b, h=0 ):
`f'`(c) = df1;

`f'`(c) = Limit(3*c^2+3*c*h+h^2,h = 0)

This limit is now easily evaluated. The result is

>    `f'`(c) = eval( dq1b, h=0 );

`f'`(c) = 3*c^2

>   

Example 2:   f(x) = sqrt(x-1)  

To find the derivative of

>    f2 := x -> sqrt( x-1 ):
f(x) = f2(x);

f(x) = (x-1)^(1/2)

at a point x = c  we compute the limit of the difference quotients between ( c , f(c)  ) and ( c+h , f(c+h)  ) as h  approaches zero:

>    dq2a := (f2(c+h)-f2(c))/h:
`f'`(c) = Limit( dq2a, h=0 );

`f'`(c) = Limit(((c+h-1)^(1/2)-(c-1)^(1/2))/h,h = 0)

Again, this limit is of the form 0/0 . When the numerator is rationalized (by multiplying by (sqrt(c+h-1)+sqrt(c-1))/(sqrt(c+h-1)+sqrt(c-1))  ) and simplified, one factor of h  cancels the denominator to yield

>    dq2b := 1/rationalize( 1/dq2a ):
df2 := Limit( dq2b, h=0 ):
`f'`(c) = df2;

`f'`(c) = Limit(1/((c+h-1)^(1/2)+(c-1)^(1/2)),h = 0)

This limit is now easily evaluated. The result is

>    `f'`(c) = eval( dq2b, h=0 );

`f'`(c) = 1/(2*(c-1)^(1/2))

Observe that the difference quotient is defined for all c  >= 1 but the limit exists and is finite only for c  > 1. This means f(x) = sqrt(x-1)  is differentiable only for x  > 1.

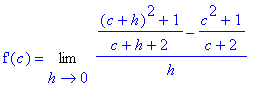
Example 3:   f(x) = (x^2+1)/(x+2)  

To find the derivative of

>    f3 := x -> (x^2+1)/(x+2):
f(x) = f3(x);

f(x) = (x^2+1)/(x+2)

at a point x = c  we compute the limit of the difference quotients between ( c , f(c)  ) and ( c+h , f(c+h)  ) as h  approaches zero:

>    dq3a := (f3(c+h)-f3(c))/h:
`f'`(c) = Limit( dq3a, h=0 );

`f'`(c) = Limit((((c+h)^2+1)/(c+h+2)-(c^2+1)/(c+2))/h,h = 0)

Again, this limit is of the form 0/0 . When the numerator is simplified (by finding a common denominator for the difference in the numerator) and simplified, one factor of h  cancels the denominator to yield

>    dq3b := simplify( dq3a ):
df3 := Limit( dq3b, h=0 ):
`f'`(c) = df3;

`f'`(c) = Limit((c^2+4*c+c*h+2*h-1)/(c+h+2)/(c+2),h = 0)

This limit is now easily evaluated. The result is

>    `f'`(c) = eval( dq3b, h=0 );

`f'`(c) = (c^2+4*c-1)/(c+2)^2

Observe that the difference quotient is defined for all c <> -2  and the limit exists (and is finite) for exactly the same values of c . Therefore, f(x) = (x^2+1)/(x+2)  is differentiable for all x <> -2 .

In most situations the first form will be used, but there will occasions when the second form will be advantageous. Two instances of this are encountered in Examples 4 and 5.

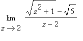
Example 4:  Identification of a limit of a difference quotient as a derivative

The limit

  limit((sqrt(z^2+1)-sqrt(5))/(z-2),z = 2)  

can be identified as the derivative of f(x) = sqrt(x^2+1)  at x = 2 . This observation will be advantageous once we develop the Differentiation Laws that will allow us to compute derivatives without explicit evaluation of a limit.

>   

Example 5:  Differentiable functions must be continuous

Flash back to Example 3 in the Conceptual Understanding of the Derivative lesson where it was observed that a function is not differentiable at a point where the graph has a cusp, corner, or jump. Another way of stating the fact about jumps is

Theorem: Differentiable implies Continuous

If a function f is differentiable at a  then f is continuous at a .

Proof:

The fact that f is differentiable at a  means

  `f'`(a) = limit((f(a+h)-f(a))/h,h = 0)  

exists and is finite.

To show f is continuous at a  requires that we demonstrate that

  limit(f(x),x = a) = f(a) .

For all x <> a  we can write

  f(x) = f(a)+f(x)-f(a)  

                     `` = f(a)+(f(x)-f(a))/(x-a)   ( x-a )

When the limit as x  approaches a is applied to both sides of this equation we find

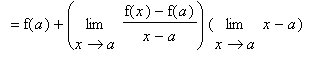
  limit(f(x),x = a) = limit(f(a)+(f(x)-f(a))/(x-a),x = a)  ( x-a )

                                     ` ` = f(a)+limit((f(x)-f(a))/(x-a),x = a)*limit(x-a,x = a)  

The limit of the difference quotient can be recognized as the derivative of f at a , `f'`(a) . Because this limit exists and is finite, the Product Law for Limits can be applied to conclude

  limit(f(x),x = a) = f(a)+`f'`(a)*0  

      `` = f(a)  

Thus, f must be continuous at a .

>   

Lesson Summary

The definition of the derivative can be summarized as

dy/dx  = `f'`(c) = limit((f(c+h)-f(c))/c,h = 0)  = limit((f(z)-f(c))/(z-c),z = c)   , provided the limit exists (and is finite).

>   

What's Next?

To reinforce the concepts introduced in this section, complete the online homework assignment and the textbook homework assignment. Online practice problems are provided to help you to develop your skills before attempting the online homework.

This lesson for derivatives is analogous to the Precise Definition of the Limit lesson in Unit 1. The development of derivatives continues to parallel the limit process with the development of a complete set of rules for computing derivatives. This will be done in three lessons: Derivative Rules, Chain Rule, and Derivative of Trigonometric Functions. With these laws you will be able to evaluate almost any derivative --- without having to compute a single limit !

>   

>   

>