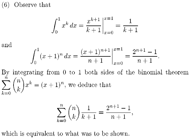
Solution to Problem (6) from Notes 7